The Holyday Leveraging Strategy

Recently, I was meditating on a new insight that came to me after listening to John MacArthur (GTY.org) expound upon the account in Mk 8:22-26 where a unique healing of a blind man took place.
This is the only miracle that required Christ to lay His hands upon someone twice in order to completely heal a disease.
Since I know that God uses the TYPE/ANTITYPE METHODOLOGY to teach us important lessons throughout the Scriptures, I wondered what this 2-Phase healing might be a TYPE of, if there is one in this incident.
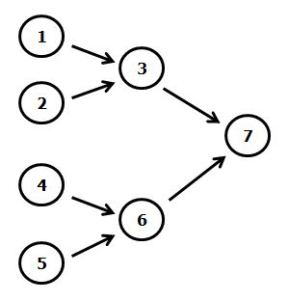
This diagram illustrates the 2-witness principle and strategy being employed by the Creator to convince man-kind about the truth of His 7 Annual Holydays Master Plan. Holydays 1 & 2 produce a Spring Harvest (Holyday 3, Pentecost). Holydays 4 & 5 produce a Fall Harvest (Holyday 6, Millenium). Then these TWO HARVESTS will, in turn, produce a Final Harvest (Holyday 7, the LAST GREAT DAY).
This simple diagram illustrates the Creator's strategy to convince as many people as possible to choose to join His Divine Family that lives by His Law and Way of Love, Cooperation, Sharing, and Creativity.
Continued...
Recently, I was meditating on a new insight that came to me after listening to John MacArthur (GTY.org) expound upon the account in Mk 8:22-26 where a unique healing of a blind man took place.
This is the only miracle that required Christ to lay His hands upon someone twice in order to completely heal a disease.
Since I know that God uses the TYPE/ANTITYPE METHODOLOGY to teach us important lessons throughout the Scriptures, I wondered what this 2-Phase healing might be a TYPE of, if there is one in this incident.
This diagram illustrates the 2-witness principle and strategy being employed by the Creator to convince man-kind about the truth of His 7 Annual Holydays Master Plan. Holydays 1 & 2 produce a Spring Harvest (Holyday 3, Pentecost). Holydays 4 & 5 produce a Fall Harvest (Holyday 6, Millenium). Then these TWO HARVESTS will, in turn, produce a Final Harvest (Holyday 7, the LAST GREAT DAY).
This simple diagram illustrates the Creator's strategy to convince as many people as possible to choose to join His Divine Family that lives by His Law and Way of Love, Cooperation, Sharing, and Creativity.
Continued...
Comment