Mining the Redeemed Mind

Collapse
X
 
  • Time
  • Show
Clear All
new posts
  • David Merrill
    Administrator
    • Mar 2011
    • 5957

    #31
    FOX Mimicry

    When the tread becomes the wiring. Between the tread - Big Pharma, the tightrope. The Trigger rests upon my finger.


    We find the evidence dumpster active, but unused for the untitled cause:

    Click image for larger version

Name:	Drop Box Final Judgment contents s.jpg
Views:	1
Size:	387.6 KB
ID:	45415

    Case #683 is published in its stead!

    DISCOVERY IS TO BE DISOWNED

    Pink Floyd - Dogs of War





    Continued...
    Attached Files
    www.lawfulmoneytrust.com
    www.bishopcastle.us
    www.bishopcastle.mobi

    Comment

    • David Merrill
      Administrator
      • Mar 2011
      • 5957

      #32
      inoculum

      Click image for larger version

Name:	The Trigger labelled.jpg
Views:	2
Size:	399.8 KB
ID:	45406

      Click image for larger version

Name:	Amplifier ON.jpg
Views:	1
Size:	391.8 KB
ID:	45407

      Testing the resonant frequency requires the amplifier, the entrainment is my solar plexus and Bishop Castle's antenna array under coverture - the Final Judgment. Acquisition of ALPHABET Inc (Google) and META PLATFORMS (FaceBook).

      Click image for larger version

Name:	Amplifier Off.png
Views:	1
Size:	106.4 KB
ID:	45408

      OFF

      Click image for larger version

Name:	Amplifier On.png
Views:	1
Size:	103.5 KB
ID:	45409

      ON

      Continued...
      Last edited by David Merrill; 11-21-21, 10:24 AM.
      www.lawfulmoneytrust.com
      www.bishopcastle.us
      www.bishopcastle.mobi

      Comment

      • David Merrill
        Administrator
        • Mar 2011
        • 5957

        #33
        mining the vagenda

        Click image for larger version

Name:	whisper loaded CPU.jpg
Views:	1
Size:	126.2 KB
ID:	45410

        The CPU generates the confidence and security building measures - friction/heat. The whisper (180K +) is provocative.

        Click image for larger version

Name:	153K FOX News whisper.jpg
Views:	1
Size:	259.3 KB
ID:	45411

        Click image for larger version

Name:	Trigger on Finger.jpg
Views:	1
Size:	140.2 KB
ID:	45412

        The links, extracted live:




        Latest Pocket Memories Unmasked:

        Click image for larger version

Name:	Quantum Computing book unmasked.jpg
Views:	1
Size:	328.3 KB
ID:	45413
        Last edited by David Merrill; 11-21-21, 10:49 AM.
        www.lawfulmoneytrust.com
        www.bishopcastle.us
        www.bishopcastle.mobi

        Comment

        • David Merrill
          Administrator
          • Mar 2011
          • 5957

          #34
          Chinese Eyes

          Herein this thread is revealed Hunter's Leaky Drive, NOTICE how China now controls the camera pointed at you while you spend your online time. Additionally Norton, Avast, NextDoor, LinkedIn, YouTube etc. all supply an intelligence feed straight feed thru Russia/Ukraine to China.

          I found it amusing that Los Angeles would bother to reveal that China is now filling confidence and security building measures as well - Blockchain feed - for genome of all those tested for COVID.

          Here are the links:

          1. https://www.bgi.com/
          2. https://www.wuxibiologics.com/
          3. https://www.huawei.com/en/
          4. https://fortune.com/2021/09/01/china...tion-internet/
          5. https://www.lawenforcementtoday.com/...-genetic-data/


          Click image for larger version

Name:	NO TESTING LA Sheriff Order FBI_Page_1.jpg
Views:	1
Size:	176.4 KB
ID:	45418


          Click image for larger version

Name:	NO TESTING LA Sheriff Order FBI_Page_2.jpg
Views:	1
Size:	221.3 KB
ID:	45419


          Click image for larger version

Name:	NO TESTING LA Sheriff Order FBI_Page_3.jpg
Views:	1
Size:	78.6 KB
ID:	45420
          Attached Files
          www.lawfulmoneytrust.com
          www.bishopcastle.us
          www.bishopcastle.mobi

          Comment

          • David Merrill
            Administrator
            • Mar 2011
            • 5957

            #35
            For the Uninitiated

            It might be easier on the mind, believe it or not, to picture the prize - a biological quantum supercomputer. The brain trust is just that, and it is the only fully operational quantum superposition of right hemispheres in the world.

            Now superimpose for the proverbial coin toss - Fear and Love - as heads and tails. "The ability to both "be" and "not be" is key to the power of quantum computing." Page 19, The Nuts and Bolts (and Qubits) of Quantum Computing by David A. BROWN under Berkeley Nucleonics Corporation. Now step into MKULTRA's prime intellectual property, A Course in Miracles - Subprojects 130 and 77. Fear and Love, like debt and redemption are not opposites but are mutually exclusive ultimates. The coin is supposed to land flat - fear OR love. But meanwhile in a world of both energy AND matter we find ourselves in a tailspin confused about whether we love or fear even family.

            I proposed them opposites and Dr Linda GADBOIS rejected with:

            The opposite of fear is courage. The opposite of love is hate. We can only truly hate somebody if we have first loved them.
            Interesting!

            Entanglement and quantum coherence between suitors guide our path. Timelessness is essential in understanding both to "be" and "not be" at the same time. I placed the oath of Victor WOLSKI at Page 3 attached and instead the clerk of court repeated Page 2, BRYAN's oath, trying to fool me. Interesting, that should have been published yesterday. I still await for the clerk to incriminate herself publicly and then avoid prison by paying me off! Amusing line of work, me.


            Click image for larger version

Name:	FILED Stamped Bill $20M_Page_3.jpg
Views:	1
Size:	230.6 KB
ID:	45455
            Attached Files
            www.lawfulmoneytrust.com
            www.bishopcastle.us
            www.bishopcastle.mobi

            Comment

            • David Merrill
              Administrator
              • Mar 2011
              • 5957

              #36
              FIled and Published Lien for $20M

              This is a new beginning; a new chapter.

              Click image for larger version

Name:	Doc 22 Bill of Indictment $20M_Page_01.jpg
Views:	1
Size:	373.0 KB
ID:	45457

              Click image for larger version

Name:	Doc 22 Bill of Indictment $20M_Page_02.jpg
Views:	1
Size:	294.3 KB
ID:	45459

              Click image for larger version

Name:	Doc 22 Bill of Indictment $20M_Page_03.jpg
Views:	1
Size:	447.5 KB
ID:	45458
              Attached Files
              www.lawfulmoneytrust.com
              www.bishopcastle.us
              www.bishopcastle.mobi

              Comment

              • Michael Joseph
                Senior Member
                • Mar 2011
                • 1596

                #37
                Regarding 3-6-9


                9 of course is the master number which never changes when divided by 2 or when multiplied by 2. In fact 9 redacts to 9 when divided by any whole number save any whole number which redacts to 3 or 6. Why is this? I have a theory but before that let's first look at 3 and 6.

                Let's examine:

                3 x 2 = 6
                3 x 3 = 9 (if multiplied by a 3 or 6 then one escapes the polarity)
                3 x 4 = 12 = 3
                3 x 5 = 15 = 6
                3 x 6 = 18 = 9
                3 x 7 = 21 = 3
                3 x 8 = 24 = 6
                3 x 9 = 27 = 9

                6 x 2 = 12 = 3
                6 x 3 = 18 = 9 (if multiplied by a 3 or 6 then one escapes the polarity)
                6 x 4 = 24 = 6
                6 x 5 = 30 = 3
                6 x 6 = 36 = 9
                6 x 7 = 42 = 6
                6 x 8 = 48 = 12 = 3
                6 x 9 = 54 = 9

                So then it is obvious that 3 and 6 are polarities or dialectics. It struck me last night that 3 and 6 represent the tree of the knowledge of good and bad. And that 9 represents the tree of life. If we allow ourselves to succumb to beliefs then we can see how the dialectics work. Beliefs are a stumbling block of which man curses himself. For instance let's explore the religious systems. One cult believes they have the truth even though they have no clue about the symbols being presented and propounded upon them. As such, to the exclusion of all others, said cult will go to war in support of its belief that they hold ultimate truth. How many have died as a result of the "false belief" systems of which the "hypnotized believers" protect, cherish and propound?

                Belief is interesting because the subconscious mind will bring to the believer examples of other believers who think the same. As such a dialectic forms or one can say a polarity of which one is trapped in the oscillation (3<-->6). Here is another example. Just ask anyone the name of God. I am not speaking to character or nature but merely to moniker.

                The result is wasted time and energy. We can see another outworking in 3/6 as those who choose to live solely in the operation of law. This condition is what Jesus terms "taking the Kingdom of God by force." Why is this so? Because in the Divine Law one may exact one's will to create one's world. This statement is a fact. "I am come to give you life and life more abundantly".

                But there is a state which transcends the Law of wherein there is no binding law. And this state is in the 9 or in Grace. Does one then frustrate the law in grace - absolutely not. The law is the King's Name or the King's Nature. Most people today can only see the laws of governments.

                In 3 and 6, as understood in the Divine Law, the Holy Spirit is the Trustee creating the new states in being in accord with the direction of man's will [the Spiritual Man]. In the 9 man becomes the trustee creating the new state at the direction of the Holy Spirit in God's Will [The Celestial Man]. In both instances God is the Settlor, Creator, Trustor. The beneficiary changes from the individual, in the former trust, to the collective, in the latter trust. The natural man who is unaware of Divine Law is subject to government law and is therefore a brute beast and is used as such. The latter case is what Jesus refers to as the "poor in Spirit."

                Most people live their entire lives making bricks for Pharaoh without any knowledge of any other way of life and being. Indeed if you understand the mystery of 3-6-9 then you hold the key. Why reach out our hand to grasp from secondary effects when one can reach out and take a hold of primary CAUSE? The answer is easily understood. And it is that man trusts in what he can perceive by and through his five senses. These are as the five lords of the philistines making Samson their slave. Samson succumbed to Desire and in doing so he threw himself out of the Garden of Eden. We all do this. We are all Samson. But Eden is not off limits. We can return at any time.

                Have you ever wondered why Trump preceded Biden? Have you ever really considered the dialectic setup which sucks your energy into a system manipulated from a higher power? Have you ever considered that in socialism/communism that the infrastructure needed to end up in one world government could not be erected? As such, capitalism was used and pitted against socialism to keep the people busy making bricks and thus creating their own prison? Look above the chess board - even above the king and you will see how pawns present themselves as systems of thought. While the people are wasting their time arguing about Trump v Biden or Capitalism v Socialism, what really matters escapes their line of sight. They are caught in their own beliefs and evaluating the 3 and the 6. The stumbling block of DESIRE is the same stumbling block that brought down mighty Samson and there is nothing new under the sun.

                In the 9 one realizes that God is not two but One and then one can enter into Gratitude with the understanding that God Is. There cannot be two powers. There is only One. Then is one standing before Pilate without fear stating you have no power over me save what Father allows. And since I and the Father are One, then why should I fear? God is One. What then of the dialectic? What then of Us v Them? These are two suns in the sunset which blend into One.

                I was exploring the compass and square the other night and at once I saw it. The compass maps out 3 - 6 - 9 . The square maps out 1-2-4-8-7-5. The goal is to make the two one. In the lower realms we see governmental laws of civil authority [the square = outer court] , in the next higher realm we see Divine Law in operation [the Inner Sanctuary] and in the highest we see Grace [the Holy of Holies]. Each realm has its own distinct understanding and we are not to commit adultery in regard to each. A priest operating in the Sanctuary must take off his garments when he leaves the sanctuary and goes into the outer court.

                Just a few thoughts of a mad man. I hope it tickled your fancy and stirred up the gray matter a bit. I freely admit that the foregoing is but a rudimentary explanation - God is infinite.

                Why should I use synthesized Melatonin when my body makes its own? But rising above the Doctor v Body: is not the Melatonin in both cases composed of the same fundamental building blocks that understands all of Nature? Is it now the time to honor our Mother as well?

                See now has Adam CHOOSE and in doing so he fell in Desire between the oscillating polarities of good versus bad. Adam named [evaluated, reasoned] and in doing so he fell from Being into Seeming to Be subject to societal understandings. To Be or not to Be that is the question. Ever wonder why they call the Name you use in regard to the State a Legal FICTION? May I ask a fundamental question? Is fiction real?

                Here are two songs to my sweetheart....She brought me into the light..



                I love you - https://www.youtube.com/watch?v=V-qVhkaHNU8


                Right down the line - https://www.youtube.com/watch?v=NSfOB8ANdWU



                These sing to the subconscious mind the Woman who receives the seed from her man - she is Beautiful. She is Divine Feminine [a consuming fire] - listen to her speak "I am in the Father and the Father is in Me." She is the Flame [Yah-Chavvah]. She believes in me and Ohh I love her! As within - so without. She mirrors me to me. How can I allow another man [politician] into our love feast? Is this not the sin of the Garden? I AM a house undivided! A divided house cannot stand!



                With Gratitude absent judgment one may enter into Grace - God Is. That is all.


                Submit now to the Author and Finisher of our Faith - and enter into the 8 - not the End but a NEW BEGINNING. Bob Marley sang "some say we got to fulfill the book". I ask, do you think that maybe the interpretation is false? Revelation or Apocalypse means to REVEAL to MAKE KNOWN. Ronny James sang


                "The lover of life's not a sinner
                The ending is just a beginner
                The closer you get to the meaning
                the sooner you'll know that you're dreaming"


                Consider brethren: Who is playing a negative role in our life? We might just send a thank you note for pointing out the beam in our eye. When you see you cannot unsee - "Nobody bleeds for the dancer." Who gave us authority to judge? Were we advised not to judge - did we NAME our reality and fall from Grace? Who then built the prison? There is but one power! We may have "our reality" or we can walk in Grace. It is our choice. And to make no choice is to sit in silence in acquiescence to the narrative that some politician placed before our internal eye.


                Shabbat Shalom my brethren. We are one. Awake brethren and put on the beautiful garments! Now are the sons of God revealed. Now is the acceptable time. TODAY.


                Pray for those who despitefully use you. You hold the key. Reach out your hand and eat freely. "All that I have is thine!" Selah.


                With Honor to our Father and our Mother I am Michael Joseph
                Last edited by Michael Joseph; 01-29-22, 06:16 PM.
                The blessing is in the hand of the doer. Faith absent deeds is dead.

                Lawful Money Trust Website

                Divine Mind Community Call - Sundays 8pm EST

                ONE man or woman can make a difference!

                Comment

                • David Merrill
                  Administrator
                  • Mar 2011
                  • 5957

                  #38
                  End of debt

                  Transformation Map.

                  I made the deadline of the 10th.

                  Click image for larger version

Name:	MERRILL - MAILING FDA Hearing small children Delivered.jpg
Views:	1
Size:	96.2 KB
ID:	45461


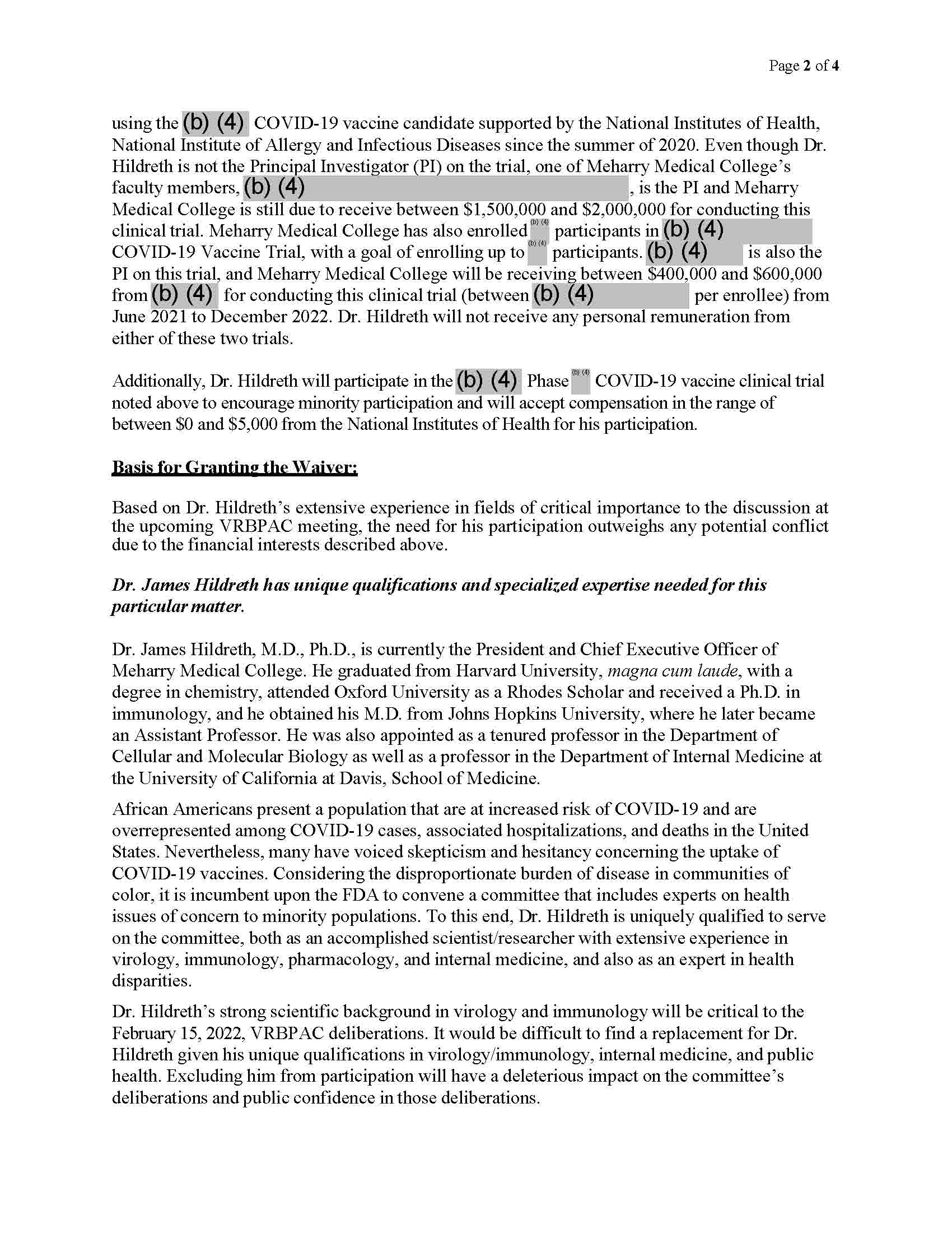
                  Can anybody say, Pfizer?

                  Click image for larger version

Name:	VRBPAC-02.15.22-Meeting-Waiver-to-Allow-Participation-Hildreth_Page_3.jpg
Views:	1
Size:	229.2 KB
ID:	45464


                  Click image for larger version

Name:	VRBPAC-02.15.22-Meeting-Waiver-to-Allow-Participation-Hildreth_Page_2.jpg
Views:	1
Size:	305.5 KB
ID:	45465

                  Debt ends - Pfizer spelled Rule (B)(4).

                  This is the witness called before the Committee to decide whether or not to inoculate the six-month thru four-year children?
                  Attached Files
                  www.lawfulmoneytrust.com
                  www.bishopcastle.us
                  www.bishopcastle.mobi

                  Comment

                  • David Merrill
                    Administrator
                    • Mar 2011
                    • 5957

                    #39
                    Save the Children!

                    Please observe geopolitical social engineering at its finest!

                    Click image for larger version

Name:	FDA Meeting Postponed.jpg
Views:	2
Size:	343.0 KB
ID:	45466


                    Thank you brain trust!!
                    www.lawfulmoneytrust.com
                    www.bishopcastle.us
                    www.bishopcastle.mobi

                    Comment

                    • David Merrill
                      Administrator
                      • Mar 2011
                      • 5957

                      #40
                      In depth examination of the oath as a bond

                      This is the US Supreme Court looking over the way Congress has allowed "judges" to evade Constitutional Bonding.

                      US Supreme Court Case 22-380 How Important is the Oath as a Bond.pdf

                      Here are today's Whispering data:

                      Click image for larger version

Name:	Whispering 2023 over 20K Russian Users at StSC 2023.jpg
Views:	1
Size:	527.3 KB
ID:	45519

                      Click image for larger version

Name:	Whispering 2023 over 200K Users on StSC.jpg
Views:	1
Size:	526.6 KB
ID:	45520

                      Over 200K Users of which 1/8 are Russian. My entire genome on the Cloud takes all.
                      www.lawfulmoneytrust.com
                      www.bishopcastle.us
                      www.bishopcastle.mobi

                      Comment

                      • marcel
                        Senior Member
                        • Jun 2015
                        • 328

                        #41
                        Ah yes, the Brunson brothers. http://ralandbrunson.com

                        How can Congress take an oath to uphold the Constitution, then pass laws that allow Congress to be immune from suit for intentionally violating the Constitution ...?

                        Simple. By signing an invalid oath that doesn't follow form of oath as prescribed by Congress.

                        As for the one-eighth, it may be that if you're hiring agents/bots/actors to target a forum, the Russians offer the best deal.
                        Last edited by marcel; 01-31-23, 01:25 PM.

                        Comment

                        • David Merrill
                          Administrator
                          • Mar 2011
                          • 5957

                          #42
                          Renewed Non-Presidency

                          Originally posted by marcel View Post
                          Ah yes, the Brunson brothers. http://ralandbrunson.com

                          How can Congress take an oath to uphold the Constitution, then pass laws that allow Congress to be immune from suit for intentionally violating the Constitution ...?

                          Simple. By signing an invalid oath that doesn't follow form of oath as prescribed by Congress.

                          As for the one-eighth, it may be that if you're hiring agents/bots/actors to target a forum, the Russians offer the best deal.
                          TRUMP is going strong.


                          It pays to review the opening post here. Donald John never was President.


                          Please ignore the misnomer, Robert instead of John.

                          And good luck finding the Oath of Office for John Glover ROBERTS!


                          Download ROBERTS FOIA Appeal.

                          Leading us to believe that there are no oaths of office in the BIDEN Administration.
                          www.lawfulmoneytrust.com
                          www.bishopcastle.us
                          www.bishopcastle.mobi

                          Comment

                          • David Merrill
                            Administrator
                            • Mar 2011
                            • 5957

                            #43
                            Voice is DEBAR - Give Me my WORD

                            Click image for larger version

Name:	Oath Dabney (3).jpg
Views:	4
Size:	124.6 KB
ID:	45540

                            That is the only Prosecution that is now CLOSED.


                            Click image for larger version

Name:	Concord is the only Closed Case.jpg
Views:	1
Size:	162.3 KB
ID:	45541

                            One of the children I saved from the inoculation is going to salvage the world.
                            www.lawfulmoneytrust.com
                            www.bishopcastle.us
                            www.bishopcastle.mobi

                            Comment

                            • David Merrill
                              Administrator
                              • Mar 2011
                              • 5957

                              #44
                              WHISPER the Election 2024

                              Fine tuning around an Outlook attack over the weekend at David.Merrill@bishopcastle.us - exciting moments. It is fun when it gets so surreal that even I just do not believe what is happening. Helps keep me calm as a snow drift...

                              Click image for larger version

Name:	WHISPER BCUS email trouble 5 23.jpg
Views:	1
Size:	119.5 KB
ID:	45544

                              Click image for larger version

Name:	WHISPER BCUS email trouble 5 23 virus warning.jpg
Views:	1
Size:	93.0 KB
ID:	45545

                              Click image for larger version

Name:	Whisper 5 2023 HOWELL BOASBERG oaths.jpg
Views:	1
Size:	117.5 KB
ID:	45542

                              201K emails going strong.

                              Click image for larger version

Name:	Whisper 5 2023 HOWELL BOASBERG oaths message contents.jpg
Views:	1
Size:	103.5 KB
ID:	45543

                              The message I am transmitting from the antennae array atop Bishop Castle is:

                              January 6th Clown Show

                              The chief judge oaths are deviant in form.



                              "SO HELP ME GOD." has replaced, "So help me God."

                              Download the pdf directly.

                              DoJ Final Response and Oath BOASBERG &amp; HOWELL.pdf
                              www.lawfulmoneytrust.com
                              www.bishopcastle.us
                              www.bishopcastle.mobi

                              Comment

                              • David Merrill
                                Administrator
                                • Mar 2011
                                • 5957

                                #45
                                Beautiful WHISPER!

                                It is so sublime:



                                Click image for larger version

Name:	antenna sunshine technicians.jpg
Views:	3
Size:	94.1 KB
ID:	45547
                                www.lawfulmoneytrust.com
                                www.bishopcastle.us
                                www.bishopcastle.mobi

                                Comment

                                Working...
                                X