(If I missed any sanitizing, please let me know)
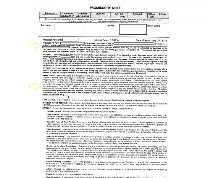
So now keen on lawful money, I look for the phrase whenever I'm reading anything. That along with "Dollars of the United States", "Federal Reserve Note", "Person", etc. Anyways, I was reviewing a new commercial loan I received (I know, loans are bad), but I was interested in what I read in the first section "Promise to Pay." They make the "borrower" in the note, me, promise to pay the "lender", a credit union "pay to, or order, in LAWFUL MONEY OF THE UNITED STATES OF AMERICA."
I think they do this so as not to pay tax, or to possibly use the funds received as a reserve for further lending, I just thought it was interesting. They pay in FRN's yet want Lawful money back...
So now keen on lawful money, I look for the phrase whenever I'm reading anything. That along with "Dollars of the United States", "Federal Reserve Note", "Person", etc. Anyways, I was reviewing a new commercial loan I received (I know, loans are bad), but I was interested in what I read in the first section "Promise to Pay." They make the "borrower" in the note, me, promise to pay the "lender", a credit union "pay to, or order, in LAWFUL MONEY OF THE UNITED STATES OF AMERICA."
I think they do this so as not to pay tax, or to possibly use the funds received as a reserve for further lending, I just thought it was interesting. They pay in FRN's yet want Lawful money back...


Comment